鸡肋般的笔记本电脑 我那台旧笔记本问题多多:电池彻底废了,只能时刻插着电源;键盘上不少按键失灵,有的得摁上十次八次才能勉强显示;系统已经是精简版的Windows 7了,可有时刚打开浏览器就崩溃;鼠标右键也常常失灵,按个几十秒才肯有反应……偶尔给孩子打印几张图片,或者挂个学习视频,那种卡顿和麻烦,忍忍也就过去了。真... 2026-02-18 日常 暂无评论 阅读全文 →
我家的第一台电视机源于春晚 印象中,小时候有好几年,除夕夜的春晚都是在邻居家看的。那时一个村子不过两三台电视,只有家境较好、有正式工作的人家才买得起。吃过晚饭,左邻右舍便聚到那户人家里,一边闲聊,一边等着春晚。晚会开始后,所有人都从头看到尾,沉浸在天籁般的歌声、优美的舞蹈、神奇的魔术、幽默的相声里……即便是之后几天的重播... 2026-02-16 日常 暂无评论 阅读全文 →
贵州贵阳市2026届高三年级适用性考试(一)数学试卷第8题 贵州贵阳市2026届高三年级适用性考试(一)数学试卷第8题是一道成题,考察数列递推关系和数列单调性。我搜索了作业帮和组卷网,也问了AI。可用的解法就是利用数列极限和数列归纳法,其他的分析要么有漏洞,要么就是胡说八道。我对用数列极限和数列归纳法不甚满意,却也束手无策。 2026-02-15 日常 暂无评论 阅读全文 →
穿越就是今天的武侠 在一篇文学评论中看到一个论调:穿越小说最让人吐槽的地方,就是仿佛穿越一次,智商就能直接翻倍——原本只是个在现实生活中一事无成、或足不出户的宅男,穿越后却摇身一变,成了人见人爱的男神。穿越前智商80,穿越后至少180,不仅人情练达、机敏过人,甚至还能救黎民于水火,扶大厦之将倾……这种看法其实有失... 2026-02-15 观感 暂无评论 阅读全文 →
诗坛吃瓜与诗人特性 唐小林写了一篇文评《诗人为何如此扯淡?》,这篇文章惹恼了诗人曹谁。曹谁私信唐小林,表示对他的“非常傲慢无理”极为反感,并称自己是一位“有特权的大诗人”。唐小林随即写了《见到诗人绕道走》作为回应,批评曹谁名不副实。这一回应显然火上浇油,曹谁进一步威胁道:“你最好和我合作,不然我让水军攻击你,以后... 2026-02-14 观感 暂无评论 阅读全文 →
对《重庆》的游戏之语 有时候事情就怕琢磨。宋明理学大师能从毛茸茸的小鸡身上看出“仁”来,《狂人日记》的主人公能从字缝里读出“吃人”。一首看似不明所以的口语诗,稍作思量,也能咂摸出别样的味道。重庆听说我回国全家人立刻从春城赶到重庆见我重庆太热了弟弟喊受不了说幸亏没来这里上学幸亏重庆夏天太热别的城市冬天又太冷不然他也会... 2026-02-13 观感 暂无评论 阅读全文 →
笔杆混子与江湖骗子 耍笔杆子的文痞与走江湖的骗子一旦同流合污,便总会上演种种恬不知耻的闹剧与骗局。往远了说,当年霍元甲准备挑战口出狂言的西洋力士奥皮音,最终却因未获比武许可,加上两人在比赛规则上无法达成一致,比武只能不了了之。到了约定之日,奥皮音离开上海去往别处进行健美表演,霍元甲只和前来助阵的中国武术界同行打了... 2026-02-12 观感 暂无评论 阅读全文 →
梦回高考与《一九八四》 在微信读书推出的轻纪实《年轻人的立场到底是由什么决定的》中,一位受访者说,真正向往自由的文字,只有在《一九八四》所塑造的环境中才会展现出来。他用自己的高三生活举例:虽然每天都过得很压抑,但那是很重要的一年,是被约束的一年,也是他真正下定决心努力的一年。那一年他的状态特别好,因此他觉得,有时高压... 2026-02-11 日常 暂无评论 阅读全文 →
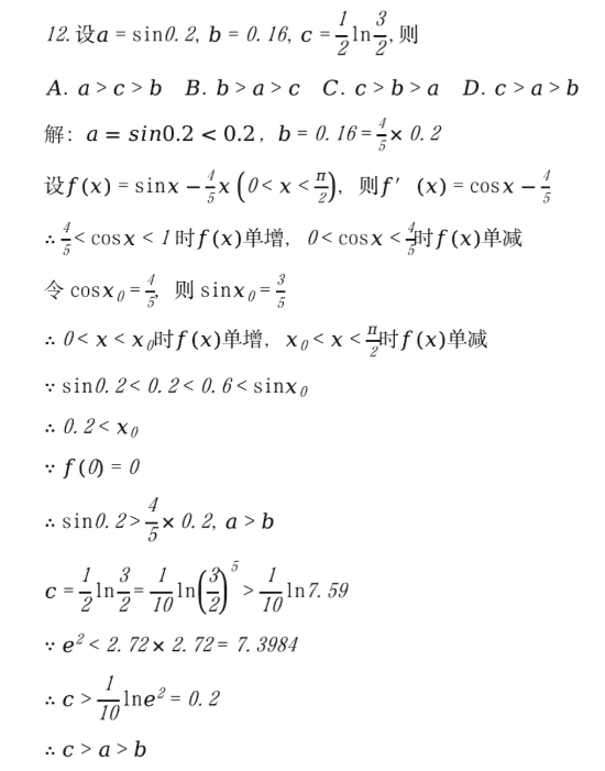
高三数学试题之比较大小(a=0.2b=0.16) 本题是一道高三数学试题中常见的一种题型—比较大小,此类题一般多要借助函数性质来解决。需要注意常规的数学结论、数学方法的运用。本题是三角、有理数、对数值比较,利用了构造函数法和放缩法。 2026-02-10 日常 暂无评论 阅读全文 →